-
TensorFlow 기초 24 - MNIST datset (손글씨 이미지 데이터)으로 숫자 이미지 분류 모델 작성(다항분류)TensorFlow 2022. 12. 6. 16:18
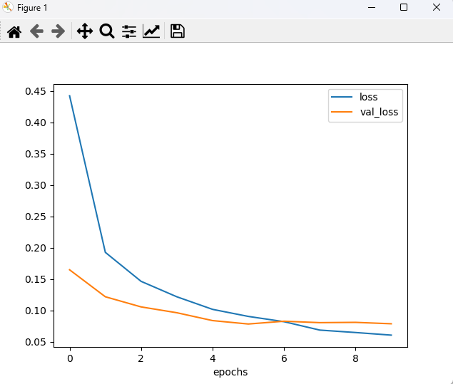
# MNIST datset (손글씨 이미지 데이터)으로 숫자 이미지 분류 모델 작성 # MNIST는 숫자 0부터 9까지의 이미지로 구성된 손글씨 데이터셋입니다. # 총 60,000개의 훈련 데이터와 레이블, 총 10,000개의 테스트 데이터와 레이블로 구성되어 있습니다. # 레이블은 0부터 9까지 총 10개입니다. import tensorflow as tf import numpy as np import sys (x_train, y_train), (x_test, y_test) = tf.keras.datasets.mnist.load_data() # keras.dataset에서 튜플로 반환하므로 ()로 묶었다. print(x_train.shape, y_train.shape, x_test.shape, y_test.shape) # (60000, 28, 28) (60000,) (10000, 28, 28) (10000,) print(x_train[0], x_train.shape) # (60000, 28, 28) print(y_train[0]) # for i in x_train[0]: # for j in i: # sys.stdout.write('%s '%j) # sys.stdout.write('\n') # import matplotlib.pyplot as plt # plt.imshow(x_train[0]) # plt.show() x_train = x_train.reshape(60000, 784).astype('float32') # reshape함수로 백터로 변환 x_test = x_test.reshape(10000, 784).astype('float32') # reshape함수로 백터로 변환 # print(x_train[0], x_train[0].shape) # (784,) # feature data를 정규화 x_train /= 255.0 x_test /= 255.0 # print(x_train[0]) # print(y_train[0], set(y_train)) # label은 원핫 처리 - softmax를 사용하기 때문에 print(y_train[0]) y_train = tf.keras.utils.to_categorical(y_train, 10) y_test = tf.keras.utils.to_categorical(y_test, 10) print(y_train[0]) # train data의 일부를 validation data로 사용하기 x_val = x_train[50000:60000] # 10000개는 validation y_val = y_train[50000:60000] x_train = x_train[0:50000] # 50000개는 train y_train = y_train[0:50000] print(x_val.shape, x_train.shape) # (10000, 784) (50000, 784) # model from keras.models import Sequential from keras.layers import Dense, Activation, Flatten, Dropout model = Sequential() # model.add(Dense(units=128, input_dim=784)) # model.add(Flatten(input_shape=(28, 28))) # reshape를 하지 않은 경우 Flatten에 의해 784로 변환된다. # model.add(Dense()) # model.add(Activation('relu')) # model.add(Dropout(rate=0.2)) """ model.add(Dense(units=128, input_dim=784)) model.add(Activation('relu')) model.add(Dropout(rate=0.2)) # 20%는 학습에 참여하지 말아라는 의미 model.add(Dense(units=128)) model.add(Activation('relu')) model.add(Dropout(rate=0.2)) # 20%는 학습에 참여하지 말아라는 의미 model.add(Dense(units=10)) # 출력층 model.add(Activation('softmax')) """ model.add(Dense(units=128, input_dim=784, activation='relu')) # model.add(Flatten(input_shape=(28, 28))) # reshape를 하지 않은 경우 Flatten에 의해 784로 변환된다. model.add(Dropout(rate=0.2)) # 20%는 학습에 참여하지 말아라는 의미 model.add(Dense(units=128, activation='relu')) model.add(Dropout(rate=0.2)) # 20%는 학습에 참여하지 말아라는 의미 model.add(Dense(units=10, activation='softmax')) model.compile(optimizer='adam', loss='categorical_crossentropy', metrics=['accuracy']) print(model.summary()) history = model.fit(x_train, y_train, epochs=10, batch_size=128, validation_data=(x_val, y_val), verbose=0) print(history.history.keys()) print('loss :', history.history['loss']) print('val_loss :', history.history['val_loss']) print('accuracy :', history.history['accuracy']) print('val_accuracy :', history.history['val_accuracy']) # 시각화 import matplotlib.pyplot as plt plt.plot(history.history['loss'], label='loss') plt.plot(history.history['val_loss'], label='val_loss') plt.xlabel('epochs') plt.legend() plt.show() plt.plot(history.history['accuracy'], label='accuracy') plt.plot(history.history['val_accuracy'], label='val_accuracy') plt.xlabel('epochs') plt.legend() plt.show() # 모델 평가 score = model.evaluate(x_test, y_test, batch_size=128, verbose=0) print('final loss :',score[0]) print('final accuracy :',score[1]) model.save('cla7_model.hdf5') # 확장자를 보고 model이라고 판단 가능하다. # 여기서부터는 저장된 모델로 새로운 데이터에 대한 이미지 분류 작업 진행 mymodel = tf.keras.models.load_model('cla7_model.hdf5') pred = mymodel.predict(x_train[:1]) print('pred :', pred) # 확률값이 출력 print('예측값 :', np.argmax(pred, 1)) # 확률값 중 가장 큰 인덱스를 분류 결과로 얻음 print('실제값 :', y_train[:1]) print('실제값 :', np.argmax(y_train[:1], 1)) <console> (60000, 28, 28) (60000,) (10000, 28, 28) (10000,) [[ 0 0 0 0 0 0 0 0 0 0 0 0 0 0 0 0 0 0 0 0 0 0 0 0 0 0 0 0] [ 0 0 0 0 0 0 0 0 0 0 0 0 0 0 0 0 0 0 0 0 0 0 0 0 0 0 0 0] [ 0 0 0 0 0 0 0 0 0 0 0 0 0 0 0 0 0 0 0 0 0 0 0 0 0 0 0 0] [ 0 0 0 0 0 0 0 0 0 0 0 0 0 0 0 0 0 0 0 0 0 0 0 0 0 0 0 0] [ 0 0 0 0 0 0 0 0 0 0 0 0 0 0 0 0 0 0 0 0 0 0 0 0 0 0 0 0] [ 0 0 0 0 0 0 0 0 0 0 0 0 3 18 18 18 126 136 175 26 166 255 247 127 0 0 0 0] [ 0 0 0 0 0 0 0 0 30 36 94 154 170 253 253 253 253 253 225 172 253 242 195 64 0 0 0 0] [ 0 0 0 0 0 0 0 49 238 253 253 253 253 253 253 253 253 251 93 82 82 56 39 0 0 0 0 0] [ 0 0 0 0 0 0 0 18 219 253 253 253 253 253 198 182 247 241 0 0 0 0 0 0 0 0 0 0] [ 0 0 0 0 0 0 0 0 80 156 107 253 253 205 11 0 43 154 0 0 0 0 0 0 0 0 0 0] [ 0 0 0 0 0 0 0 0 0 14 1 154 253 90 0 0 0 0 0 0 0 0 0 0 0 0 0 0] [ 0 0 0 0 0 0 0 0 0 0 0 139 253 190 2 0 0 0 0 0 0 0 0 0 0 0 0 0] [ 0 0 0 0 0 0 0 0 0 0 0 11 190 253 70 0 0 0 0 0 0 0 0 0 0 0 0 0] [ 0 0 0 0 0 0 0 0 0 0 0 0 35 241 225 160 108 1 0 0 0 0 0 0 0 0 0 0] [ 0 0 0 0 0 0 0 0 0 0 0 0 0 81 240 253 253 119 25 0 0 0 0 0 0 0 0 0] [ 0 0 0 0 0 0 0 0 0 0 0 0 0 0 45 186 253 253 150 27 0 0 0 0 0 0 0 0] [ 0 0 0 0 0 0 0 0 0 0 0 0 0 0 0 16 93 252 253 187 0 0 0 0 0 0 0 0] [ 0 0 0 0 0 0 0 0 0 0 0 0 0 0 0 0 0 249 253 249 64 0 0 0 0 0 0 0] [ 0 0 0 0 0 0 0 0 0 0 0 0 0 0 46 130 183 253 253 207 2 0 0 0 0 0 0 0] [ 0 0 0 0 0 0 0 0 0 0 0 0 39 148 229 253 253 253 250 182 0 0 0 0 0 0 0 0] [ 0 0 0 0 0 0 0 0 0 0 24 114 221 253 253 253 253 201 78 0 0 0 0 0 0 0 0 0] [ 0 0 0 0 0 0 0 0 23 66 213 253 253 253 253 198 81 2 0 0 0 0 0 0 0 0 0 0] [ 0 0 0 0 0 0 18 171 219 253 253 253 253 195 80 9 0 0 0 0 0 0 0 0 0 0 0 0] [ 0 0 0 0 55 172 226 253 253 253 253 244 133 11 0 0 0 0 0 0 0 0 0 0 0 0 0 0] [ 0 0 0 0 136 253 253 253 212 135 132 16 0 0 0 0 0 0 0 0 0 0 0 0 0 0 0 0] [ 0 0 0 0 0 0 0 0 0 0 0 0 0 0 0 0 0 0 0 0 0 0 0 0 0 0 0 0] [ 0 0 0 0 0 0 0 0 0 0 0 0 0 0 0 0 0 0 0 0 0 0 0 0 0 0 0 0] [ 0 0 0 0 0 0 0 0 0 0 0 0 0 0 0 0 0 0 0 0 0 0 0 0 0 0 0 0]] (60000, 28, 28) 5 5 [0. 0. 0. 0. 0. 1. 0. 0. 0. 0.] (10000, 784) (50000, 784) Model: "sequential" _________________________________________________________________ Layer (type) Output Shape Param # ================================================================= dense (Dense) (None, 128) 100480 dropout (Dropout) (None, 128) 0 dense_1 (Dense) (None, 128) 16512 dropout_1 (Dropout) (None, 128) 0 dense_2 (Dense) (None, 10) 1290 ================================================================= Total params: 118,282 Trainable params: 118,282 Non-trainable params: 0 _________________________________________________________________ None dict_keys(['loss', 'accuracy', 'val_loss', 'val_accuracy']) loss : [0.4403969943523407, 0.19961883127689362, 0.1470498889684677, 0.11703752726316452, 0.09893597662448883, 0.08715160936117172, 0.07764007151126862, 0.06841342151165009, 0.06573114544153214, 0.061331573873758316] val_loss : [0.17090469598770142, 0.12302819639444351, 0.10522539913654327, 0.09100259095430374, 0.08063910156488419, 0.07660463452339172, 0.07578850537538528, 0.08383689075708389, 0.0760139748454094, 0.07369726896286011] accuracy : [0.8688200116157532, 0.9401599764823914, 0.9548599720001221, 0.9643200039863586, 0.9691600203514099, 0.9724799990653992, 0.9759799838066101, 0.9785199761390686, 0.9789800047874451, 0.9796599745750427] val_accuracy : [0.949999988079071, 0.9624999761581421, 0.9692000150680542, 0.9729999899864197, 0.9764000177383423, 0.9771000146865845, 0.9785000085830688, 0.9764000177383423, 0.9781000018119812, 0.978600025177002] final loss : 0.06710246950387955 final accuracy : 0.9785000085830688 1/1 [==============================] - ETA: 0s 1/1 [==============================] - 0s 41ms/step pred : [[4.0980396e-14 8.1789928e-08 6.1205583e-09 3.1447946e-03 5.4112692e-18 9.9685502e-01 1.8860232e-12 3.5345428e-11 3.6873602e-13 2.6834346e-08]] 예측값 : [5] 실제값 : [[0. 0. 0. 0. 0. 1. 0. 0. 0. 0.]] 실제값 : [5]reshape를 하지 않은 경우 Flatten 함수에 의해 784로 변환된다.(28, 28)
Drop-out은 어떤 특정한 설명변수 Feature만을 과도하게 집중하여 학습함으로써 발생할 수 있는 과대적합(Overfitting)을 방지하기 위해 사용한다. 히든레이어에만 부여한다.

loss, val_loss 시각화 
acc, val_acc 시각화 'TensorFlow' 카테고리의 다른 글
TensorFlow 기초 25 - MNIST로 CNN 처리 (0) 2022.12.07 TensorFlow 기초 24-1 - 내가 그린 손글씨 이미지 분류 결과 확인(24 이어서) (0) 2022.12.06 TensorFlow 기초 23 - iris dataset 분류 모델 여러개 생성 후 성능 비교. 최종 모델 ROC curve 표현(모델 = 함수 사용) (0) 2022.12.06 TensorFlow 기초 22 - zoo animal dataset으로 동물의 type을 7가지로 분류(다항분) (0) 2022.12.06 TensorFlow 기초 21 - diabetes 데이터로 이항분류(sigmoid)와 다항분류(softmax) 처리 (0) 2022.12.06