-
TensorFlow 기초 22 - zoo animal dataset으로 동물의 type을 7가지로 분류(다항분)TensorFlow 2022. 12. 6. 11:14
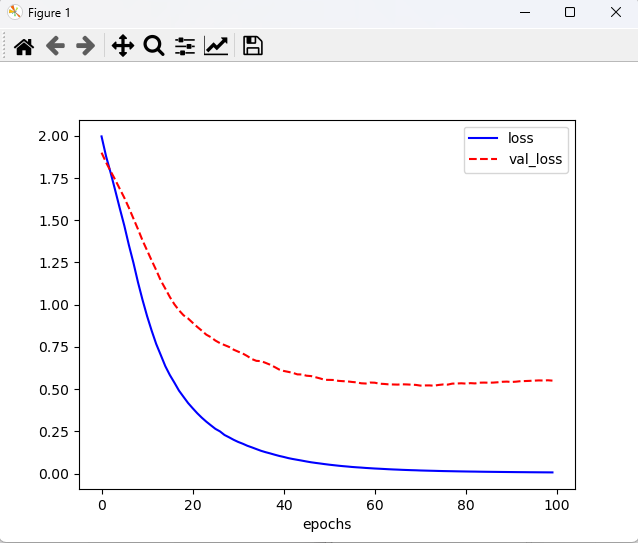
# zoo animal dataset으로 동물의 type을 분류 from keras.models import Sequential from keras.layers import Dense import numpy as np from keras.utils import to_categorical xy = np.loadtxt('https://raw.githubusercontent.com/pykwon/python/master/testdata_utf8/zoo.csv', delimiter=',') print(xy[0], xy.shape) x_data = xy[:, 0:-1] y_data = xy[:, -1] print(x_data[0]) print(y_data[0], ' ', set(y_data)) # {0.0, 1.0, 2.0, 3.0, 4.0, 5.0, 6.0} # train / test 생략 # label은 one-hot 처리를 해야 한다. # y_data = to_categorical(y_data) # print(y_data[0]) model = Sequential() model.add(Dense(32, input_dim=16, activation='relu')) model.add(Dense(32, activation='relu')) model.add(Dense(7, activation='softmax')) print(model.summary()) # model.compile(optimizer='adam', loss='categorical_crossentropy', metrics=['accuracy']) # loss='sparse_categorical_crossentropy' 하면 내부적으로 one-hot 처리를 해준다. model.compile(optimizer='adam', loss='sparse_categorical_crossentropy', metrics=['accuracy']) history = model.fit(x_data, y_data, epochs=100, batch_size=10, validation_split=0.3, verbose=0) print('evaluate :', model.evaluate(x_data, y_data, batch_size=10, verbose=0)) # loss, acc를 시각화 history_dict = history.history loss = history_dict['loss'] val_loss = history_dict['val_loss'] acc = history_dict['accuracy'] val_acc = history_dict['val_accuracy'] import matplotlib.pyplot as plt plt.plot(loss, 'b-', label='loss') plt.plot(val_loss, 'r--', label='val_loss') plt.xlabel('epochs') plt.legend() plt.show() plt.plot(acc, 'b-', label='acc') plt.plot(val_acc, 'r--', label='val_acc') plt.xlabel('epochs') plt.legend() plt.show() print() # 예측 pred_data = x_data[:1] print('예측값 :', np.argmax(model.predict(pred_data))) # argmax함수를 사용하면 확률값으로 나온다. print() # 여러 개 예측값 pred_datas = x_data[:5] preds = [np.argmax(i) for i in model.predict(pred_datas)] print('예측값 :', preds) # argmax함수를 사용하면 확률값으로 나온다. print('실제값 :', y_data[:5]) <console> [1. 0. 0. 1. 0. 0. 1. 1. 1. 1. 0. 0. 4. 0. 0. 1. 0.] (101, 17) [1. 0. 0. 1. 0. 0. 1. 1. 1. 1. 0. 0. 4. 0. 0. 1.] 0.0 {0.0, 1.0, 2.0, 3.0, 4.0, 5.0, 6.0} Model: "sequential" _________________________________________________________________ Layer (type) Output Shape Param # ================================================================= dense (Dense) (None, 32) 544 dense_1 (Dense) (None, 32) 1056 dense_2 (Dense) (None, 7) 231 ================================================================= Total params: 1,831 Trainable params: 1,831 Non-trainable params: 0 _________________________________________________________________ None evaluate : [0.20276065170764923, 0.9405940771102905] 1/1 [==============================] - ETA: 0s 1/1 [==============================] - 0s 40ms/step 예측값 : 0 1/1 [==============================] - ETA: 0s 1/1 [==============================] - 0s 10ms/step 예측값 : [0, 0, 3, 0, 0] 실제값 : [0. 0. 3. 0. 0.]다항분류일 경우에는 label one-hot 처리를 해야 한다.
직접 one-hot 처리를 하지 않아 loss='sparse_categorical_crossentropy' 로 작성하면 프로그램 내부적으로 one-hot 처리를 해준다.
argmax함수를 사용하면 확률값으로 나온다.

loss, val_loss 시각화 
acc, val_acc 시각화 'TensorFlow' 카테고리의 다른 글