-
TensorFlow 기초 16 - AutoMPG dataset으로 자동차 연비 예측 모델(표준화)TensorFlow 2022. 12. 2. 11:20
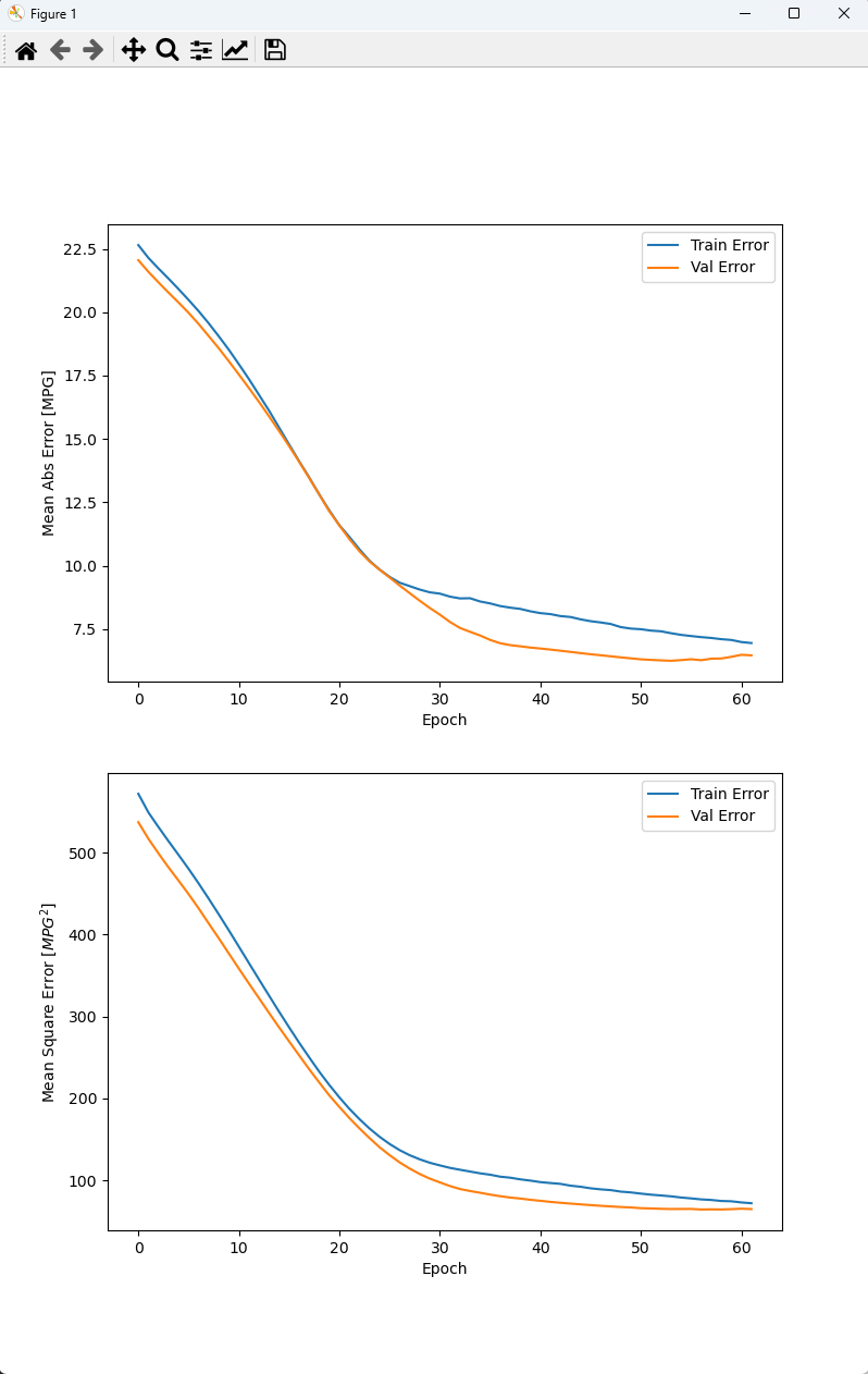
# AutoMPG dataset으로 자동차 연비 예측모델 import pandas as pd import matplotlib.pyplot as plt import seaborn as sns import tensorflow as tf from keras import layers dataset = pd.read_csv('../testdata/auto-mpg.csv', na_values='?') # na_values='?' na를 ?표로 대체함 print(dataset.head(2)) del dataset['car name'] print(dataset.corr()) dataset.drop(['acceleration', 'model year', 'origin'], axis='columns', inplace=True) print(dataset.info()) print(dataset.corr()) # print(dataset.isna().sum()) # 6개 있다. dataset = dataset.dropna() # print(dataset.isna().sum()) # 없애기 성공 # 시각화 # sns.pairplot(dataset[['mpg','displacement', 'horsepower', 'weight', 'acceleration']], diag_kind='kde') # plt.show() # train / test split train_dataset = dataset.sample(frac=0.7, random_state=123) test_dataset = dataset.drop(train_dataset.index) print(train_dataset.shape, test_dataset.shape) # (274, 8) (118, 8) # 표준화 train_stat = train_dataset.describe() # print(train_stat) train_stat.pop('mpg') # mpg는 label로 사용할 것이므로.. train_stat = train_stat.transpose() print(train_stat) train_label = train_dataset.pop('mpg') # mpg만 따로 뽑아봄 print(train_label[:2]) test_label = test_dataset.pop('mpg') # mpg만 따로 뽑아봄 print(test_label[:2]) def st_func(x): # 표준화 함수 return (x - train_stat['mean']) / train_stat['std'] # print(st_func(10)) # print(train_dataset[:2]) # print(st_func(train_dataset[:2])) st_train_data = st_func(train_dataset) # feature st_test_data = st_func(test_dataset) # feature print(st_train_data.columns) print() # model from keras.models import Sequential from keras.layers import Dense def build_model(): network = Sequential([ Dense(units=64, activation='relu', input_shape=[4]), Dense(units=64, activation='relu'), Dense(units=1, activation='linear') ]) opti= tf.keras.optimizers.RMSprop(0.001) network.compile(optimizer=opti, loss='mean_squared_error', metrics=['mean_absolute_error', 'mean_squared_error']) return network model = build_model() print(model.summary()) # fit() 전에 모델을 실행해도 됨. 다만, 성능은 기대하지 않음. # print(model.predict(st_train_data[:1])) epochs = 10000 early_stop = tf.keras.callbacks.EarlyStopping(monitor='val_loss', mode='auto', patience=5) history = model.fit(st_train_data, train_label, batch_size=32, epochs=epochs, validation_split=0.2, verbose=1, callbacks=[early_stop]) df = pd.DataFrame(history.history) print(df) def plot_history(history): hist = pd.DataFrame(history.history) hist['epoch'] = history.epoch plt.figure(figsize=(8,12)) plt.subplot(2,1,1) plt.xlabel('Epoch') plt.ylabel('Mean Abs Error [MPG]') plt.plot(hist['epoch'], hist['mean_absolute_error'],label='Train Error') plt.plot(hist['epoch'], hist['val_mean_absolute_error'],label = 'Val Error') plt.legend() plt.subplot(2,1,2) plt.xlabel('Epoch') plt.ylabel('Mean Square Error [$MPG^2$]') plt.plot(hist['epoch'], hist['mean_squared_error'],label='Train Error') plt.plot(hist['epoch'], hist['val_mean_squared_error'],label = 'Val Error') plt.legend() plt.show() plot_history(history) # 모델 평가 loss, mae, mse = model.evaluate(st_test_data, test_label) print('loss : {:5.3f}'.format(loss)) print('mae : {:5.3f}'.format(mae)) print('mse : {:5.3f}'.format(mse)) from sklearn.metrics import r2_score print('설명력 : ', r2_score(test_label, model.predict(st_test_data))) # 0.6687 <console> mpg cylinders displacement ... model year origin car name 0 18.0 8 307.0 ... 70 1 chevrolet chevelle malibu 1 15.0 8 350.0 ... 70 1 buick skylark 320 [2 rows x 9 columns] mpg cylinders ... model year origin mpg 1.000000 -0.775396 ... 0.579267 0.563450 cylinders -0.775396 1.000000 ... -0.348746 -0.562543 displacement -0.804203 0.950721 ... -0.370164 -0.609409 horsepower -0.778427 0.842983 ... -0.416361 -0.455171 weight -0.831741 0.896017 ... -0.306564 -0.581024 acceleration 0.420289 -0.505419 ... 0.288137 0.205873 model year 0.579267 -0.348746 ... 1.000000 0.180662 origin 0.563450 -0.562543 ... 0.180662 1.000000 [8 rows x 8 columns] <class 'pandas.core.frame.DataFrame'> RangeIndex: 398 entries, 0 to 397 Data columns (total 5 columns): # Column Non-Null Count Dtype --- ------ -------------- ----- 0 mpg 398 non-null float64 1 cylinders 398 non-null int64 2 displacement 398 non-null float64 3 horsepower 392 non-null float64 4 weight 398 non-null int64 dtypes: float64(3), int64(2) memory usage: 15.7 KB None mpg cylinders displacement horsepower weight mpg 1.000000 -0.775396 -0.804203 -0.778427 -0.831741 cylinders -0.775396 1.000000 0.950721 0.842983 0.896017 displacement -0.804203 0.950721 1.000000 0.897257 0.932824 horsepower -0.778427 0.842983 0.897257 1.000000 0.864538 weight -0.831741 0.896017 0.932824 0.864538 1.000000 (274, 5) (118, 5) count mean std ... 50% 75% max cylinders 274.0 5.503650 1.720908 ... 4.0 8.00 8.0 displacement 274.0 196.131387 106.618440 ... 151.0 302.00 455.0 horsepower 274.0 104.755474 39.416747 ... 94.0 129.00 230.0 weight 274.0 2981.941606 863.904789 ... 2831.5 3641.75 4997.0 [4 rows x 8 columns] 222 17.0 247 39.4 Name: mpg, dtype: float64 1 15.0 2 18.0 Name: mpg, dtype: float64 Index(['cylinders', 'displacement', 'horsepower', 'weight'], dtype='object') Model: "sequential" _________________________________________________________________ Layer (type) Output Shape Param # ================================================================= dense (Dense) (None, 64) 320 dense_1 (Dense) (None, 64) 4160 dense_2 (Dense) (None, 1) 65 ================================================================= Total params: 4,545 Trainable params: 4,545 Non-trainable params: 0 _________________________________________________________________ None Epoch 1/10000 1/7 [===>..........................] - ETA: 1s - loss: 680.4760 - mean_absolute_error: 24.7800 - mean_squared_error: 680.4760 7/7 [==============================] - 0s 21ms/step - loss: 601.4277 - mean_absolute_error: 23.1848 - mean_squared_error: 601.4277 - val_loss: 591.8640 - val_mean_absolute_error: 23.0248 - val_mean_squared_error: 591.8640 Epoch 2/10000 1/7 [===>..........................] - ETA: 0s - loss: 680.3566 - mean_absolute_error: 24.8924 - mean_squared_error: 680.3566 7/7 [==============================] - 0s 3ms/step - loss: 568.0007 - mean_absolute_error: 22.4028 - mean_squared_error: 568.0007 - val_loss: 560.7090 - val_mean_absolute_error: 22.3425 - val_mean_squared_error: 560.7090 Epoch 3/10000 1/7 [===>..........................] - ETA: 0s - loss: 419.8855 - mean_absolute_error: 19.3354 - mean_squared_error: 419.8855 7/7 [==============================] - 0s 3ms/step - loss: 534.2181 - mean_absolute_error: 21.6125 - mean_squared_error: 534.2181 - val_loss: 524.8778 - val_mean_absolute_error: 21.5590 - val_mean_squared_error: 524.8778 Epoch 4/10000 1/7 [===>..........................] - ETA: 0s - loss: 507.0336 - mean_absolute_error: 20.8416 - mean_squared_error: 507.0336 7/7 [==============================] - 0s 3ms/step - loss: 495.0857 - mean_absolute_error: 20.6901 - mean_squared_error: 495.0857 - val_loss: 483.7122 - val_mean_absolute_error: 20.6297 - val_mean_squared_error: 483.7122 Epoch 5/10000 1/7 [===>..........................] - ETA: 0s - loss: 408.2064 - mean_absolute_error: 18.7368 - mean_squared_error: 408.2064 7/7 [==============================] - 0s 3ms/step - loss: 450.4423 - mean_absolute_error: 19.5857 - mean_squared_error: 450.4423 - val_loss: 437.2163 - val_mean_absolute_error: 19.5276 - val_mean_squared_error: 437.2163 Epoch 6/10000 1/7 [===>..........................] - ETA: 0s - loss: 313.1874 - mean_absolute_error: 16.2679 - mean_squared_error: 313.1874 7/7 [==============================] - 0s 3ms/step - loss: 401.6044 - mean_absolute_error: 18.2996 - mean_squared_error: 401.6044 - val_loss: 386.7092 - val_mean_absolute_error: 18.2572 - val_mean_squared_error: 386.7092 Epoch 7/10000 1/7 [===>..........................] - ETA: 0s - loss: 319.1680 - mean_absolute_error: 15.8723 - mean_squared_error: 319.1680 7/7 [==============================] - 0s 3ms/step - loss: 350.2697 - mean_absolute_error: 16.8654 - mean_squared_error: 350.2697 - val_loss: 335.5231 - val_mean_absolute_error: 16.8724 - val_mean_squared_error: 335.5231 Epoch 8/10000 1/7 [===>..........................] - ETA: 0s - loss: 275.3731 - mean_absolute_error: 14.4855 - mean_squared_error: 275.3731 7/7 [==============================] - 0s 3ms/step - loss: 300.0649 - mean_absolute_error: 15.4424 - mean_squared_error: 300.0649 - val_loss: 285.6091 - val_mean_absolute_error: 15.4003 - val_mean_squared_error: 285.6091 Epoch 9/10000 1/7 [===>..........................] - ETA: 0s - loss: 159.2849 - mean_absolute_error: 10.4762 - mean_squared_error: 159.2849 7/7 [==============================] - 0s 3ms/step - loss: 251.0454 - mean_absolute_error: 14.0058 - mean_squared_error: 251.0454 - val_loss: 236.3739 - val_mean_absolute_error: 13.8193 - val_mean_squared_error: 236.3739 Epoch 10/10000 1/7 [===>..........................] - ETA: 0s - loss: 204.9026 - mean_absolute_error: 12.6882 - mean_squared_error: 204.9026 7/7 [==============================] - 0s 3ms/step - loss: 205.1691 - mean_absolute_error: 12.6148 - mean_squared_error: 205.1691 - val_loss: 191.8347 - val_mean_absolute_error: 12.3074 - val_mean_squared_error: 191.8347 Epoch 11/10000 1/7 [===>..........................] - ETA: 0s - loss: 172.3840 - mean_absolute_error: 10.6897 - mean_squared_error: 172.3840 7/7 [==============================] - 0s 3ms/step - loss: 164.0300 - mean_absolute_error: 11.1987 - mean_squared_error: 164.0300 - val_loss: 152.4515 - val_mean_absolute_error: 10.8554 - val_mean_squared_error: 152.4515 Epoch 12/10000 1/7 [===>..........................] - ETA: 0s - loss: 172.1983 - mean_absolute_error: 11.7179 - mean_squared_error: 172.1983 7/7 [==============================] - 0s 3ms/step - loss: 129.0225 - mean_absolute_error: 9.8662 - mean_squared_error: 129.0225 - val_loss: 121.2074 - val_mean_absolute_error: 9.5956 - val_mean_squared_error: 121.2074 Epoch 13/10000 1/7 [===>..........................] - ETA: 0s - loss: 126.9507 - mean_absolute_error: 9.9745 - mean_squared_error: 126.9507 7/7 [==============================] - 0s 3ms/step - loss: 99.7987 - mean_absolute_error: 8.4456 - mean_squared_error: 99.7987 - val_loss: 95.8570 - val_mean_absolute_error: 8.4000 - val_mean_squared_error: 95.8570 Epoch 14/10000 1/7 [===>..........................] - ETA: 0s - loss: 61.4363 - mean_absolute_error: 6.7040 - mean_squared_error: 61.4363 7/7 [==============================] - 0s 3ms/step - loss: 77.5760 - mean_absolute_error: 7.2028 - mean_squared_error: 77.5760 - val_loss: 77.8085 - val_mean_absolute_error: 7.3244 - val_mean_squared_error: 77.8085 Epoch 15/10000 1/7 [===>..........................] - ETA: 0s - loss: 78.8430 - mean_absolute_error: 6.5619 - mean_squared_error: 78.8430 7/7 [==============================] - 0s 3ms/step - loss: 62.9044 - mean_absolute_error: 6.2160 - mean_squared_error: 62.9044 - val_loss: 66.7750 - val_mean_absolute_error: 6.5801 - val_mean_squared_error: 66.7750 Epoch 16/10000 1/7 [===>..........................] - ETA: 0s - loss: 60.0901 - mean_absolute_error: 6.2861 - mean_squared_error: 60.0901 7/7 [==============================] - 0s 3ms/step - loss: 54.6862 - mean_absolute_error: 5.7036 - mean_squared_error: 54.6862 - val_loss: 61.4330 - val_mean_absolute_error: 6.2815 - val_mean_squared_error: 61.4330 Epoch 17/10000 1/7 [===>..........................] - ETA: 0s - loss: 60.5466 - mean_absolute_error: 6.7953 - mean_squared_error: 60.5466 7/7 [==============================] - 0s 3ms/step - loss: 50.6541 - mean_absolute_error: 5.4266 - mean_squared_error: 50.6541 - val_loss: 57.5465 - val_mean_absolute_error: 6.0370 - val_mean_squared_error: 57.5465 Epoch 18/10000 1/7 [===>..........................] - ETA: 0s - loss: 56.2741 - mean_absolute_error: 6.0906 - mean_squared_error: 56.2741 7/7 [==============================] - 0s 3ms/step - loss: 48.0193 - mean_absolute_error: 5.3197 - mean_squared_error: 48.0193 - val_loss: 54.9215 - val_mean_absolute_error: 5.8894 - val_mean_squared_error: 54.9215 Epoch 19/10000 1/7 [===>..........................] - ETA: 0s - loss: 51.2549 - mean_absolute_error: 5.8761 - mean_squared_error: 51.2549 7/7 [==============================] - 0s 3ms/step - loss: 45.9287 - mean_absolute_error: 5.2135 - mean_squared_error: 45.9287 - val_loss: 51.5483 - val_mean_absolute_error: 5.6825 - val_mean_squared_error: 51.5483 Epoch 20/10000 1/7 [===>..........................] - ETA: 0s - loss: 50.5600 - mean_absolute_error: 5.6437 - mean_squared_error: 50.5600 7/7 [==============================] - 0s 3ms/step - loss: 42.8736 - mean_absolute_error: 5.0280 - mean_squared_error: 42.8736 - val_loss: 48.2185 - val_mean_absolute_error: 5.4748 - val_mean_squared_error: 48.2185 Epoch 21/10000 1/7 [===>..........................] - ETA: 0s - loss: 34.4499 - mean_absolute_error: 4.3802 - mean_squared_error: 34.4499 7/7 [==============================] - 0s 3ms/step - loss: 40.3116 - mean_absolute_error: 4.9054 - mean_squared_error: 40.3116 - val_loss: 45.2562 - val_mean_absolute_error: 5.2730 - val_mean_squared_error: 45.2562 Epoch 22/10000 1/7 [===>..........................] - ETA: 0s - loss: 61.7068 - mean_absolute_error: 5.7318 - mean_squared_error: 61.7068 7/7 [==============================] - 0s 3ms/step - loss: 37.9759 - mean_absolute_error: 4.7480 - mean_squared_error: 37.9759 - val_loss: 41.9157 - val_mean_absolute_error: 5.0596 - val_mean_squared_error: 41.9157 Epoch 23/10000 1/7 [===>..........................] - ETA: 0s - loss: 31.6613 - mean_absolute_error: 4.6477 - mean_squared_error: 31.6613 7/7 [==============================] - 0s 3ms/step - loss: 35.2623 - mean_absolute_error: 4.6154 - mean_squared_error: 35.2623 - val_loss: 39.8304 - val_mean_absolute_error: 4.9478 - val_mean_squared_error: 39.8304 Epoch 24/10000 1/7 [===>..........................] - ETA: 0s - loss: 33.2401 - mean_absolute_error: 4.5983 - mean_squared_error: 33.2401 7/7 [==============================] - 0s 3ms/step - loss: 33.1273 - mean_absolute_error: 4.4238 - mean_squared_error: 33.1273 - val_loss: 36.5776 - val_mean_absolute_error: 4.7240 - val_mean_squared_error: 36.5776 Epoch 25/10000 1/7 [===>..........................] - ETA: 0s - loss: 31.0012 - mean_absolute_error: 4.6573 - mean_squared_error: 31.0012 7/7 [==============================] - 0s 3ms/step - loss: 30.7996 - mean_absolute_error: 4.3089 - mean_squared_error: 30.7996 - val_loss: 34.0954 - val_mean_absolute_error: 4.5112 - val_mean_squared_error: 34.0954 Epoch 26/10000 1/7 [===>..........................] - ETA: 0s - loss: 25.0821 - mean_absolute_error: 3.9926 - mean_squared_error: 25.0821 7/7 [==============================] - 0s 3ms/step - loss: 28.6433 - mean_absolute_error: 4.1386 - mean_squared_error: 28.6433 - val_loss: 31.3404 - val_mean_absolute_error: 4.2903 - val_mean_squared_error: 31.3404 Epoch 27/10000 1/7 [===>..........................] - ETA: 0s - loss: 19.4081 - mean_absolute_error: 3.5444 - mean_squared_error: 19.4081 7/7 [==============================] - 0s 3ms/step - loss: 26.9365 - mean_absolute_error: 4.0184 - mean_squared_error: 26.9365 - val_loss: 29.6591 - val_mean_absolute_error: 4.1595 - val_mean_squared_error: 29.6591 Epoch 28/10000 1/7 [===>..........................] - ETA: 0s - loss: 16.1090 - mean_absolute_error: 3.3709 - mean_squared_error: 16.1090 7/7 [==============================] - 0s 3ms/step - loss: 24.9158 - mean_absolute_error: 3.8511 - mean_squared_error: 24.9158 - val_loss: 27.4577 - val_mean_absolute_error: 3.9322 - val_mean_squared_error: 27.4577 Epoch 29/10000 1/7 [===>..........................] - ETA: 0s - loss: 34.0473 - mean_absolute_error: 4.1305 - mean_squared_error: 34.0473 7/7 [==============================] - 0s 3ms/step - loss: 23.2951 - mean_absolute_error: 3.6899 - mean_squared_error: 23.2951 - val_loss: 25.9998 - val_mean_absolute_error: 3.7651 - val_mean_squared_error: 25.9998 Epoch 30/10000 1/7 [===>..........................] - ETA: 0s - loss: 31.2338 - mean_absolute_error: 3.9500 - mean_squared_error: 31.2338 7/7 [==============================] - 0s 3ms/step - loss: 22.1446 - mean_absolute_error: 3.5575 - mean_squared_error: 22.1446 - val_loss: 24.6765 - val_mean_absolute_error: 3.6129 - val_mean_squared_error: 24.6765 Epoch 31/10000 1/7 [===>..........................] - ETA: 0s - loss: 15.6989 - mean_absolute_error: 3.0156 - mean_squared_error: 15.6989 7/7 [==============================] - 0s 3ms/step - loss: 20.6000 - mean_absolute_error: 3.4105 - mean_squared_error: 20.6000 - val_loss: 23.7181 - val_mean_absolute_error: 3.4574 - val_mean_squared_error: 23.7181 Epoch 32/10000 1/7 [===>..........................] - ETA: 0s - loss: 25.1083 - mean_absolute_error: 3.4224 - mean_squared_error: 25.1083 7/7 [==============================] - 0s 3ms/step - loss: 19.6939 - mean_absolute_error: 3.3010 - mean_squared_error: 19.6939 - val_loss: 22.7881 - val_mean_absolute_error: 3.3326 - val_mean_squared_error: 22.7881 Epoch 33/10000 1/7 [===>..........................] - ETA: 0s - loss: 14.9332 - mean_absolute_error: 3.1259 - mean_squared_error: 14.9332 7/7 [==============================] - 0s 2ms/step - loss: 18.9630 - mean_absolute_error: 3.1956 - mean_squared_error: 18.9630 - val_loss: 22.1572 - val_mean_absolute_error: 3.2348 - val_mean_squared_error: 22.1572 Epoch 34/10000 1/7 [===>..........................] - ETA: 0s - loss: 12.2150 - mean_absolute_error: 2.4114 - mean_squared_error: 12.2150 7/7 [==============================] - 0s 3ms/step - loss: 18.2997 - mean_absolute_error: 3.0920 - mean_squared_error: 18.2997 - val_loss: 21.2409 - val_mean_absolute_error: 3.1456 - val_mean_squared_error: 21.2409 Epoch 35/10000 1/7 [===>..........................] - ETA: 0s - loss: 11.4307 - mean_absolute_error: 2.7604 - mean_squared_error: 11.4307 7/7 [==============================] - 0s 3ms/step - loss: 17.8721 - mean_absolute_error: 3.1003 - mean_squared_error: 17.8721 - val_loss: 21.2036 - val_mean_absolute_error: 3.1207 - val_mean_squared_error: 21.2036 Epoch 36/10000 1/7 [===>..........................] - ETA: 0s - loss: 14.4703 - mean_absolute_error: 2.9405 - mean_squared_error: 14.4703 7/7 [==============================] - 0s 3ms/step - loss: 17.1524 - mean_absolute_error: 3.0119 - mean_squared_error: 17.1524 - val_loss: 21.4782 - val_mean_absolute_error: 3.1813 - val_mean_squared_error: 21.4782 Epoch 37/10000 1/7 [===>..........................] - ETA: 0s - loss: 13.6271 - mean_absolute_error: 2.9719 - mean_squared_error: 13.6271 7/7 [==============================] - 0s 3ms/step - loss: 17.1712 - mean_absolute_error: 2.9854 - mean_squared_error: 17.1712 - val_loss: 20.5797 - val_mean_absolute_error: 3.0848 - val_mean_squared_error: 20.5797 Epoch 38/10000 1/7 [===>..........................] - ETA: 0s - loss: 28.3013 - mean_absolute_error: 3.7912 - mean_squared_error: 28.3013 7/7 [==============================] - 0s 3ms/step - loss: 16.8312 - mean_absolute_error: 2.9674 - mean_squared_error: 16.8312 - val_loss: 20.3102 - val_mean_absolute_error: 3.0284 - val_mean_squared_error: 20.3102 Epoch 39/10000 1/7 [===>..........................] - ETA: 0s - loss: 14.7526 - mean_absolute_error: 3.1983 - mean_squared_error: 14.7526 7/7 [==============================] - 0s 3ms/step - loss: 16.8290 - mean_absolute_error: 2.9640 - mean_squared_error: 16.8290 - val_loss: 20.5047 - val_mean_absolute_error: 3.0471 - val_mean_squared_error: 20.5047 Epoch 40/10000 1/7 [===>..........................] - ETA: 0s - loss: 13.7946 - mean_absolute_error: 2.8730 - mean_squared_error: 13.7946 7/7 [==============================] - 0s 3ms/step - loss: 16.2755 - mean_absolute_error: 2.9209 - mean_squared_error: 16.2755 - val_loss: 20.2221 - val_mean_absolute_error: 3.0333 - val_mean_squared_error: 20.2221 Epoch 41/10000 1/7 [===>..........................] - ETA: 0s - loss: 15.1452 - mean_absolute_error: 2.7385 - mean_squared_error: 15.1452 7/7 [==============================] - 0s 3ms/step - loss: 15.8887 - mean_absolute_error: 2.8588 - mean_squared_error: 15.8887 - val_loss: 20.5933 - val_mean_absolute_error: 3.0518 - val_mean_squared_error: 20.5933 Epoch 42/10000 1/7 [===>..........................] - ETA: 0s - loss: 21.5418 - mean_absolute_error: 3.2976 - mean_squared_error: 21.5418 7/7 [==============================] - 0s 3ms/step - loss: 16.8122 - mean_absolute_error: 2.9391 - mean_squared_error: 16.8122 - val_loss: 19.9304 - val_mean_absolute_error: 2.9836 - val_mean_squared_error: 19.9304 Epoch 43/10000 1/7 [===>..........................] - ETA: 0s - loss: 13.5428 - mean_absolute_error: 2.8874 - mean_squared_error: 13.5428 7/7 [==============================] - 0s 3ms/step - loss: 15.9525 - mean_absolute_error: 2.8678 - mean_squared_error: 15.9525 - val_loss: 19.7977 - val_mean_absolute_error: 2.9853 - val_mean_squared_error: 19.7977 Epoch 44/10000 1/7 [===>..........................] - ETA: 0s - loss: 14.9289 - mean_absolute_error: 3.0643 - mean_squared_error: 14.9289 7/7 [==============================] - 0s 3ms/step - loss: 15.8257 - mean_absolute_error: 2.8693 - mean_squared_error: 15.8257 - val_loss: 20.1326 - val_mean_absolute_error: 3.0181 - val_mean_squared_error: 20.1326 Epoch 45/10000 1/7 [===>..........................] - ETA: 0s - loss: 9.5729 - mean_absolute_error: 2.5294 - mean_squared_error: 9.5729 7/7 [==============================] - 0s 3ms/step - loss: 16.0579 - mean_absolute_error: 2.8986 - mean_squared_error: 16.0579 - val_loss: 19.8492 - val_mean_absolute_error: 2.9720 - val_mean_squared_error: 19.8492 Epoch 46/10000 1/7 [===>..........................] - ETA: 0s - loss: 19.3899 - mean_absolute_error: 3.0403 - mean_squared_error: 19.3899 7/7 [==============================] - 0s 3ms/step - loss: 15.9067 - mean_absolute_error: 2.8749 - mean_squared_error: 15.9067 - val_loss: 19.9324 - val_mean_absolute_error: 2.9916 - val_mean_squared_error: 19.9324 Epoch 47/10000 1/7 [===>..........................] - ETA: 0s - loss: 13.0213 - mean_absolute_error: 2.6371 - mean_squared_error: 13.0213 7/7 [==============================] - 0s 3ms/step - loss: 15.7572 - mean_absolute_error: 2.8664 - mean_squared_error: 15.7572 - val_loss: 20.0052 - val_mean_absolute_error: 3.0032 - val_mean_squared_error: 20.0052 Epoch 48/10000 1/7 [===>..........................] - ETA: 0s - loss: 11.9728 - mean_absolute_error: 2.6327 - mean_squared_error: 11.9728 7/7 [==============================] - 0s 3ms/step - loss: 15.6571 - mean_absolute_error: 2.8415 - mean_squared_error: 15.6571 - val_loss: 19.6889 - val_mean_absolute_error: 2.9865 - val_mean_squared_error: 19.6889 Epoch 49/10000 1/7 [===>..........................] - ETA: 0s - loss: 22.8097 - mean_absolute_error: 3.4804 - mean_squared_error: 22.8097 7/7 [==============================] - 0s 3ms/step - loss: 15.5446 - mean_absolute_error: 2.8439 - mean_squared_error: 15.5446 - val_loss: 19.6736 - val_mean_absolute_error: 2.9819 - val_mean_squared_error: 19.6736 Epoch 50/10000 1/7 [===>..........................] - ETA: 0s - loss: 23.2874 - mean_absolute_error: 3.5320 - mean_squared_error: 23.2874 7/7 [==============================] - 0s 3ms/step - loss: 15.6644 - mean_absolute_error: 2.8380 - mean_squared_error: 15.6644 - val_loss: 19.5981 - val_mean_absolute_error: 2.9795 - val_mean_squared_error: 19.5981 Epoch 51/10000 1/7 [===>..........................] - ETA: 0s - loss: 12.2018 - mean_absolute_error: 2.8134 - mean_squared_error: 12.2018 7/7 [==============================] - 0s 3ms/step - loss: 16.1080 - mean_absolute_error: 2.8916 - mean_squared_error: 16.1080 - val_loss: 19.6137 - val_mean_absolute_error: 2.9753 - val_mean_squared_error: 19.6137 Epoch 52/10000 1/7 [===>..........................] - ETA: 0s - loss: 19.6972 - mean_absolute_error: 3.0819 - mean_squared_error: 19.6972 7/7 [==============================] - 0s 3ms/step - loss: 15.2194 - mean_absolute_error: 2.8007 - mean_squared_error: 15.2194 - val_loss: 19.6220 - val_mean_absolute_error: 2.9872 - val_mean_squared_error: 19.6220 Epoch 53/10000 1/7 [===>..........................] - ETA: 0s - loss: 15.3694 - mean_absolute_error: 2.7427 - mean_squared_error: 15.3694 7/7 [==============================] - 0s 3ms/step - loss: 15.3328 - mean_absolute_error: 2.8302 - mean_squared_error: 15.3328 - val_loss: 19.5572 - val_mean_absolute_error: 2.9706 - val_mean_squared_error: 19.5572 Epoch 54/10000 1/7 [===>..........................] - ETA: 0s - loss: 14.3996 - mean_absolute_error: 2.8174 - mean_squared_error: 14.3996 7/7 [==============================] - 0s 3ms/step - loss: 15.6872 - mean_absolute_error: 2.8493 - mean_squared_error: 15.6872 - val_loss: 19.5703 - val_mean_absolute_error: 2.9711 - val_mean_squared_error: 19.5703 Epoch 55/10000 1/7 [===>..........................] - ETA: 0s - loss: 16.6972 - mean_absolute_error: 3.0000 - mean_squared_error: 16.6972 7/7 [==============================] - 0s 2ms/step - loss: 15.3090 - mean_absolute_error: 2.8341 - mean_squared_error: 15.3090 - val_loss: 19.5212 - val_mean_absolute_error: 2.9674 - val_mean_squared_error: 19.5212 Epoch 56/10000 1/7 [===>..........................] - ETA: 0s - loss: 15.5535 - mean_absolute_error: 2.8565 - mean_squared_error: 15.5535 7/7 [==============================] - 0s 3ms/step - loss: 15.0543 - mean_absolute_error: 2.8025 - mean_squared_error: 15.0543 - val_loss: 19.4893 - val_mean_absolute_error: 2.9645 - val_mean_squared_error: 19.4893 Epoch 57/10000 1/7 [===>..........................] - ETA: 0s - loss: 12.4237 - mean_absolute_error: 2.7484 - mean_squared_error: 12.4237 7/7 [==============================] - 0s 3ms/step - loss: 15.0483 - mean_absolute_error: 2.8079 - mean_squared_error: 15.0483 - val_loss: 20.2153 - val_mean_absolute_error: 3.0010 - val_mean_squared_error: 20.2153 Epoch 58/10000 1/7 [===>..........................] - ETA: 0s - loss: 13.5162 - mean_absolute_error: 2.6402 - mean_squared_error: 13.5162 7/7 [==============================] - 0s 3ms/step - loss: 15.3872 - mean_absolute_error: 2.8026 - mean_squared_error: 15.3872 - val_loss: 19.6546 - val_mean_absolute_error: 2.9706 - val_mean_squared_error: 19.6546 Epoch 59/10000 1/7 [===>..........................] - ETA: 0s - loss: 15.3013 - mean_absolute_error: 2.8112 - mean_squared_error: 15.3013 7/7 [==============================] - 0s 3ms/step - loss: 15.3402 - mean_absolute_error: 2.7953 - mean_squared_error: 15.3402 - val_loss: 19.5386 - val_mean_absolute_error: 2.9649 - val_mean_squared_error: 19.5386 Epoch 60/10000 1/7 [===>..........................] - ETA: 0s - loss: 7.6489 - mean_absolute_error: 1.9015 - mean_squared_error: 7.6489 7/7 [==============================] - 0s 3ms/step - loss: 15.0646 - mean_absolute_error: 2.8211 - mean_squared_error: 15.0646 - val_loss: 19.6878 - val_mean_absolute_error: 2.9713 - val_mean_squared_error: 19.6878 Epoch 61/10000 1/7 [===>..........................] - ETA: 0s - loss: 13.3874 - mean_absolute_error: 2.9319 - mean_squared_error: 13.3874 7/7 [==============================] - 0s 3ms/step - loss: 15.0976 - mean_absolute_error: 2.8221 - mean_squared_error: 15.0976 - val_loss: 19.9646 - val_mean_absolute_error: 2.9790 - val_mean_squared_error: 19.9646 loss ... val_mean_squared_error 0 601.427673 ... 591.864014 1 568.000671 ... 560.709045 2 534.218140 ... 524.877808 3 495.085724 ... 483.712219 4 450.442322 ... 437.216309 .. ... ... ... 56 15.048346 ... 20.215349 57 15.387167 ... 19.654648 58 15.340160 ... 19.538551 59 15.064593 ... 19.687771 60 15.097616 ... 19.964642 [61 rows x 6 columns] 1/4 [======>.......................] - ETA: 0s - loss: 12.4303 - mean_absolute_error: 2.5080 - mean_squared_error: 12.4303 4/4 [==============================] - 0s 1ms/step - loss: 14.7585 - mean_absolute_error: 3.0017 - mean_squared_error: 14.7585 loss : 14.758 mae : 3.002 mse : 14.758 1/4 [======>.......................] - ETA: 0s 4/4 [==============================] - 0s 835us/step 설명력 : 0.7201497337303957EarlyStopping() 안에 patience의 의미는 val_loss가 n번 이내에 떨어지지 않으면 조기 종료 하겠다는 의미이다.
train / test split을 함수를 사용하지 않고 직접 수식으로 사용하였다. 표준화 또한 수식을 사용하였다.
모델 설계를 함수로 만들었다. 재사용하기 편하다.
fit() 전에 모델을 실행해도 됨. 다만 성능은 기대하지 않는다.

상관계수 시각화 
mse, mae 시각화 조기 종료는 오버피팅을 방지할 수 있다.
'TensorFlow' 카테고리의 다른 글
TensorFlow 기초 18 - 다항회귀(Polynomial Regression) (0) 2022.12.02 TensorFlow 기초 17 - 현대차 가격예측 모델(function api 사용 방법, GradientTape 객체 사용 방법) (0) 2022.12.02 TensorFlow 기초 15 - 활성화 함수, 학습 조기 종료 (0) 2022.12.02 TensorFlow 기초 14 - 선형회귀용 다층 분류모델 - Sequential, Functional api(표준화 및 validation_data) (1) 2022.12.01 다중선형회귀 예제 - 자전거 공유 시스템 분석 (0) 2022.12.01